
سوالهای اینستاگرامی زیادی دست به دست میشوند و از کاربران فضای مجازی فیدبکهای مختلف، کامنت و پاسخ میگیرند. در این شکل با دو مخروط ناقص یکسان روبرو هستیم. مخروط ناقص از نظر ظاهری با مخروط قائم و مایل متفاوت است. اگر قسمتی از بالای یک مخروط کامل بریده شود، مخروطی خواهیم داشت که راس ندارد و ناقص است. چنین مخروطی را مخروط ناقص مینامند.
در این تصویر دو مخزن X و Y داریم و فرض بر آن است که هر دو مخزن هزار لیتری است. این بدین معناست که این دو مخزن پر هستند و فقط یکی را برعکس دیگری و بر روی قاعدهی کوچکتر آن خوابانده ایم. با به بیان دقیقتر، ایستانده ایم.
صورت سوال میپرسد «کدومشون زودتر خالی میشه؟» و تخصص ما دبی یا شارش حجمی است. همانطور که در کمپرسورها و مکررا در مباحث مربوط به معرفی کمپرسور هوا با مفهوم ظرفیت هوادهی یا دبی خروجی هوای فشرده روبرو شده ایم. در کمپرسورها این مسئله نکتهی جالبی دارد که در ادامه خواهیم گفت. اگر فقط به دنبال جواب سوال هستید، از روی آن بپرید و به بخش بعدی بروید.
فشار بیشتر، شارش حجمی بیشتر؟
در گازها اینطور نیست. زمانی که فشار را افزایش میدهید، نرخ شارش حجمی، متر مکعب بر دقیقه یا لیتر بر ثانیه، افت میکند. این افت با فرض آن است که همهی شرایط را یکسان و برقرار و در دستگاه یا لولهکشی یکسانی فرض کنیم.
علت افت فشار در صورت افزایش نرخ شارش حجمی به چگالی گاز برمیگردد. با افزایش فشار، گاز متراکمتر شده، چگالی آن افزایش می یابد… جرم بیشتری را به جلو هل میدهید، ولی این جرم فضای کمتر یا حجم کمتری را اشغال کرده و در نتیجه: شارش حجمی کمتر.
پس: فشار بیشتر در سرعت کمپرسور یکسان ← شارش حجمی یا دبی کمتر
البته که فشار بیشتر به افزایش شارش جرمی و افزایش چگالی هوا می انجامد. اگر قصد افزایش شارش حجمی را دارید، باید فشار خروجی را کاسته یا کمپرسور بزرگتری استفاده کنید.
شارش حجمی مایعات
مایعات رفتاری کاملا متفاوت با گازها نشان میدهند. مایعات، منجمله آب که در سوال اینستاگرامی مشاهده میشود، تراکم پذیر نیستند. افزایش فشار چگالی یا شارش حجمی مایعات تراکم ناپذیر را تغییر نمیدهد. فشار انرژی جریان را افزایش میدهد و اثری بر میزان آب تخلیه شده بر واحد زمان نخواهد داشت.

پس در مورد مایعات، منجمله آب، اگر سرعت پمپ ثابت باشد، افزایش فشار به کاهش شارش آب می انجامد، این به دلیل نکتهایست که پاسخ سوال اینستاگرامی هم در آن نهفته است: ارتفاع آب. پمپ بایستی بر ارتفاع بیشتری غلبه کند.
برای افزایش جریان خروجی آب، مشابه با کمپرسور هوا، میتوانید از پمپی قویتر یا سریعتر استفاده کنید. ولی این افزایش سرعت به خاطر منحنی عملکردی پمپ بوده و ربطی به فشار آب ندارد. عدم ارتباط فشار آب به شدت جریان آن از مسائلی است که خلاف تجسم مغزی ما رفتار میکند و درک آن کمی ما را دچار مغزدرد خواهد کرد. مسئله مهندسی است، انسانی نیست.
ولی سوال اینستاگرامی پمپ هم ندارد، گاز و کمپرسوری در کار نیست، پمپ آبی هم در کار نیست و فقط همان چیزی که در بالا گفته شد بر آب خروجی موثر است: ارتفاع آب داخل مخزن.
حال که دانستید ارتفاع تنها عامل حائز اهمیت در جواب سوال است، مایل نیستید پیش از ادامهی مطلب، خود تلاش مجددی در پاسخگویی به سوال داشته باشید؟
ارتفاع آب یا به انگلیسی Head معیار سنجش انرژی در سیستمهای مایع است. تصور کنید پمپی آب را داخل لولهکشی آپارتمان شما تزریق میکند، میزان ارتفاعی که توان تزریق و هل دادن آب را داشته باشد اصطلاحا هد پمپ نامیده میشود. در ادبیات مهندسی وقتی گفته شود که هد پمپی ۵۰ متر است، یعنی پمپ توان شوت کردن آب تا ارتفاع ۵۰ متری را دارد. این ارتفاع از مایعات پایا، مثلا مخزن که آب در آن ثابت و استاتیک ایستاده، سنجیده میشود.
انواع هد نیز عبارت است از هد استاتیک، هد اصطکاک که انرژی هدررفته برای جنگیدن با اصطکاک لوله و اتصالات است و هد مجموع.
فشار و ارتفاع آب به طور مستقیم به یکدیگر مربوط بوده و برای مثال ۱۰ متر ارتفاع آب حدود ۱ بار فشار دارد.
دو مخزن با محتوای یکسان آب، ارتفاع یکسان آب، شکل مخازن اهمیتی دارد؟
بازی فکری مکانیک سیالات که در راهنمایی یا دبیرستان با آن در اشکال مختلفی روبرو میشدیم و کاملا با غریزهی ذهنی ما در تعارض است. اگر با دو مخزن با محتوای یکسان آب (هر دو ۱۰۰۰ لیتر) و ارتفاع یکسان آب روبرو باشیم، شکل مخازن بر «نرخ آنی یا لحظهای شارژ حجمی» آب تاثیری ندارد. یعنی وقتی شیر آبی که در کف مخازن صورت سوال است را باز میکنیم، دقیقا با سرعت یکسانی آب شروع به تخلیه میکند.
سرعت تخلیهی آب کاملا وابسته به فشار هیدرواستاتیک در نقطهی خروجی است. تنها عاملی که میتواند در آن تغییری ایجاد کند قطر شیر خروجی است که آن هم در این سوال یکسان فرض شده است.
بر اساس قانون توریچلی، فشار آب فقط و فقط به ارتفاع ستون آبی بالای شیر بستگی دارد و هیچ ربطی به شکل ساده یا عجیب و غریب، تنگ یا گشاد مخزن ندارد. پس در لحظهای که شیر را باز کردید سرعت تخلیه و شارش هر دو مخزن یکسان است. لطفا به آشفتگیها و گیر افتادگیهای آب در مخازن هم نپردازیم، سوال اینستاگرام است، نه مکانیک سیالات ترم چهار مهندسی.
ولی شکل مهم است، سرعت تخلیه در طول زمان تغییر میکند:
تصور فضایی داشته باشید، اگر مخزنی بلند و باریک باشد، سطح آب سریعتر می افتد، یعنی ارتفاع آب موجود در مخزن سریعتر کم میشود و ای یعنی سرعت تخلیهی آن نیز زودتر کم میشود. در مخزن گشاد و پهن سطح آب آهستهتر افت میکند و سرعت تخلیهی آن هم برای مدت طولانیتری بالا خواهد ماند.
پس شکل مخزن بر سرعت لحظهی اول تاثیری ندارد و فقط ارتفاع مهم بود. اما شکل مخزن کاملا بر ادامهی ماجرا تا لحظهی آخر موثر است.

حال کدام مخزن سریعتر تخلیه خواهد شد؟ مخزنی که سطح مقطع پایینی آن کوچکتر است یا مخزنی که سطح مقطع پایینی بزرگتری دارد؟



توریچلی و فشار هیدرو استاتیک

فرمولی که احتمالا در دوران دبیرستان زیاد شنیده اید و آوای خوبی هم دارد، پی مساوی است با رو ژ هاچ. P=ρgh
مطابق با این فرمول فشار هیدرو استاتیک، که فشاری است که مایع یا روغن به هنگام سکون دارد، برابر با حاصلضرب عوامل موثر بر آن است: عمق یا ارتفاع ستون مایع، چگالی مایع (هر چه مایعی چگالتر باشد سختتر فشار می آورد) و جاذبه. پس اگر داخل استخر بپرید، هر چه پایینتر بروید فشار وارد بر گوشهای شما افزایش می یابد. این فشار فشار هیدرواستاتیک نام دارد و بامزه آن است که در تمامی جهتها یکسان وارد میشود. همین سوال اینستاگرامی جالبتر میشد اگر شیر را در نقطهی دیگری، مثلا در دیواره، قرار میدادیم.
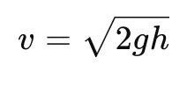
اگر کف مخزنی را سوراخ کنید، آب شروع به تخلیه میکند. سرعت جریان حاصل از فشار هیدرواستاتیک در نقطهی سوراخ خواهد بود. این قانون توریچلی است.
در معادلهی بالا V سرعت آب خروجی است. g جاذبه و h ارتفاع آن.
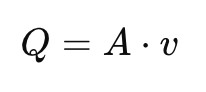
هرچه عمق سوراخ بیشتر باشد سرعت تخلیه بالاتر خواهد بود. البته سرعت با شارش حجمی متفاوت است. شارش حجمی که با متر مکعب بر دقیقه یا لیتر بر ثانیه یا واحدهای دیگر بیان میشود به سایز سوراخ هم بستگی دارد. در نتیجه نرخ دبی آب خروجی برابر خواهد بود با:
عوامل دیگری که بر شارش حجمی خروجی تاثیر خواهد داشت عبارت است از اصطکاک داخلی، ویسکوزیتی یا گرانروی مایع، آشفتگی جریان.


